Описание и значение ошибки P0012
Этот диагностический код тревоги (DTC) родовой код powertrain, поэтому он значит что он применяется к OBD-II оборудовал корабли, включая но не ограниченный к Тойота, VW, Honda, Шевроле, Hyundai, Audi, Acura, etc. Код P0012 ссылается к компонентам VVT (переменного времени клапана) или VCT (переменного camshafttiming) и PCM автомобиля (отсеку управления powertrain) или ECM (отсеку управления двигателя). VVT технология используемая в двигателе для того чтобы позволить ему получить большие силу или эффективность на различных идущих пунктах. То состоит из немного различных компонентов но p0012 DTC specificallyrefers к времени камшафта (кулачка). В этом случае, если время кулачка запаздывает, индикатор двигателя будет illluminated и codewill будет установлен. Распредвал a-это впускной, левый или передний распредвал. Этот код относится к банку 1. Ряд 1-это сторона двигателя, содержащая цилиндр №1.
Коды двузначной системы
Коды неисправностей силовой установки
Расшифровка кодов неисправностей двигателя при типе 09:
11 — отсутствие питания блока управления клапанов; 12 и 13 — не поступает сигнал об оборотах двигателя; 14 — не поступает отзыв от отрицательного контакта катушки зажигания или, если их две, то от катушки №1; 15 — нет отзыва от минусового контакта катушки зажигания №2; 16 — не поступает сигнал от ЭБУ АКПП; 17 и 18 — недопустимое значение положения распределительного вала №1 и №2; 21 — некорректный сигнал датчика уровня кислорода; 22 — недопустимое значение температуры силового агрегата; 23 и 24 — некорректный показатель температуры всасываемого воздуха; 25 — бедная воздушно-топливная смесь; 26 — слишком насыщенная воздушно-топливная смесь; 27, 28 и 29 — некорректный сигнал дополнительного датчика кислорода; 31 — недопустимое значение расхода воздуха или давления впускного коллектора; 32 — некорректный отзыв датчика расхода воздуха; 34 — неисправность наддува; 35 — недопустимое значение давления впускного коллектора (вакуум-сенсор); 38 — некорректный сигнал датчика жидкости в АКПП; 41 — некорректный отзыв датчика положения дросселя; 42 — недопустимое значение скорости, которую развивает автомобиль; 43 — отсутствие стартерного сигнала на ЭБУ двигателя; 46 — неисправность клапана соленоида №4 или его цепи; 47 — поломка дополнительного датчика, фиксирующего положение дросселя или его цепи; 48 — неисправность системы дополнительной подачи топлива; 51 — отсутствует сигнал холостого хода от датчика, отображающего положение дроссельной заслонки; 52 и 55 — некорректный отзыв от датчика детонации; 53 — поломка цепей управления датчиков детонации; 61 — неисправность датчика скорости и его цепи; 62—65 — неисправность клапанов соленоида №1—4 или соответствующей цепи; 67 — неисправность датчиков включения O/D или его цепи; 71 — поломка системы рециркуляции выхлопных газов; 72 — неисправность соленоида отсечения топлива; 77 — неисправность соленоида управления давлением или его цепи (в АКПП); 78 — отсутствует сигнал топливного насоса или неисправность его цепей; 81—85 — неисправность цепей различных участков коробки робота; 86 — поломка датчиков, фиксирующих обороты двигателя; 88 — нарушение работы электроцепи между блоками управления силовой установкой и АКПП; 89 — нарушение работы электроцепи между блоками управления силовой установкой и коробки робота; 99 — неисправности отсутствуют. Расшифровка кодов неисправностей двигателя при типе 10: 1 — нормальная работа; 2 — недопустимое значение расхода воздуха; 3 — некорректный сигнал коммутатора; 4 — недопустимое значение температуры антифриза; 5 — некорректный сигнал датчика кислорода; 6 — недопустимое значение оборотов двигателя; 7 — некорректный отзыв датчика положения дросселя; 8 — недопустимый сигнал датчика температуры воздуха; 9 — некорректный сигнал датчика, фиксирующего скорость автомобиля; 10 — отсутствует сигнал включения стартера; 11 — поломка кондиционера или положения N в АКПП.
Коды ошибок систем ABS и TRC (код 10)
11 — наличие обрыва цепи реле соленоида; 12 — замыкание цепи реле соленоида; 13 — наличие обрыва цепи реле управления электродвигателем насоса; 14 — замыкание цепи реле управления электродвигателем насоса; 15—18 — наличие нарушений в работе управления соленоида TRC; 21—24 — нарушение цепи соленоида колеса; 25—27 — нарушение цепи соленоида TRC на разных участках цепи; 31—34 — некорректный сигнал датчиков оборота колес; 35 и 36 — обрыв цепи датчиков оборота колес; 37 — неисправность роторов, установленных на датчиках, отбражающих обороты задних колес; 41 — завышенное или заниженное напряжение питания; 43 — отклонение в работе датчика замедления; 44 — неисправность цепей датчика замедления или включения нейтральной передачи; 45—49; 58 и 61 — обрывы и неисправности цепей и деталей TRS; 51—53 — неисправности электоромотора насоса или его управления; 55 — понижение уровня тормозной жидкости или неисправность его датчика; 56 и 57 — недопустимое значение давления масла; 62 — некорректная работа датчиков оборотов двигателя; 71—74 — пониженное напряжение датчиков оборотов колес; 75—78 — нестабильный сигнал датчиков оборотов колес; 79 — отклонение в работе датчика замедления или его цепи.
Коды ошибок Тойоты Камри
За это время были определены следующие симптомы. Не вовремя разгона и чаще даже не вовремя торможения, а когда сразу после этого просто катишься в спокойном режиме — Сразу после нагрева масла в акпп активной езды, р1668 ошибка тойота камри под конец, даже не гонки, а просто чуть активней чем обычно пропадала задняя передачи.
Приучился не парковаться так что бы можно было выехать только задом.
https://youtube.com/watch?v=Bx8zaMik54E
Например едешь не быстро 60 — 70 начинаешь притормаживать, все идет р1668 ошибка тойота камри обычно и вдруг, толчок и как будто переключили сразу на первую и загорается чек — В крайние дни перед ремонтом, старался по возможности не ездить .
Регулировка, ремонт или замена датчика
При ремонте или установке нового TPS необходимо его настроить, чтобы ECM правильно распознавал признаки холостого хода, то есть когда педаль газа полностью отпущена, а положение дроссельной заслонки полностью закрыто. При отсутствии признаков холостого хода не будет адекватного регулирования и режима принудительного холостого хода при торможении двигателем, что приведет к перерасходу топлива.
Главным здесь является правильная регулировка начального положения контакта IDL (контакт холостого хода). На большинстве моделей Toyota регулировку этого положения контакта IDL производят выставлением зазора «дроссельная заслонка – упорный винт». На двигателях 3S-FE Toyota он равен, например, 0,51 миллиметра.
Так же надо убедиться, осуществляется ли разрыв контакта холостого хода. Тем самым, мы узнаем, что на «дорожке» датчика отсутствуют обрывы, потертости и т. д.
Датчик положения дроссельной заслонки может не работать из-за отсутствия на нем «минуса». Если это обнаружилось, то он должен быть восстановлен. Также необходимо проверить поступление к датчику питания («плюса»), которое в зависимости от типа двигателя может быть равно 5 или 12 вольт.
Как диагностировать код P0603
Это руководство о том, как профессиональный автомеханик может решать эту проблему. Могут потребоваться некоторые навыки работы с автомобильной электроникой и некоторые инструменты, но это может помочь вам, даже если вы плохо разбираетесь в автомобилях.
Всегда подключайте автомобильное зарядное устройство, когда проводите диагностику автомобиля. Низкое напряжение может вызывать другие коды неисправностей и даже повредить блоки управления.
Если все провода питания, заземления, напряжение аккумулятора / генератора в порядке и вы не можете обнаружить какие-либо короткие замыкания, это может быть внутренняя неисправность в блоке управления двигателем. Вы можете либо отдать его в ремонт, либо заменить.

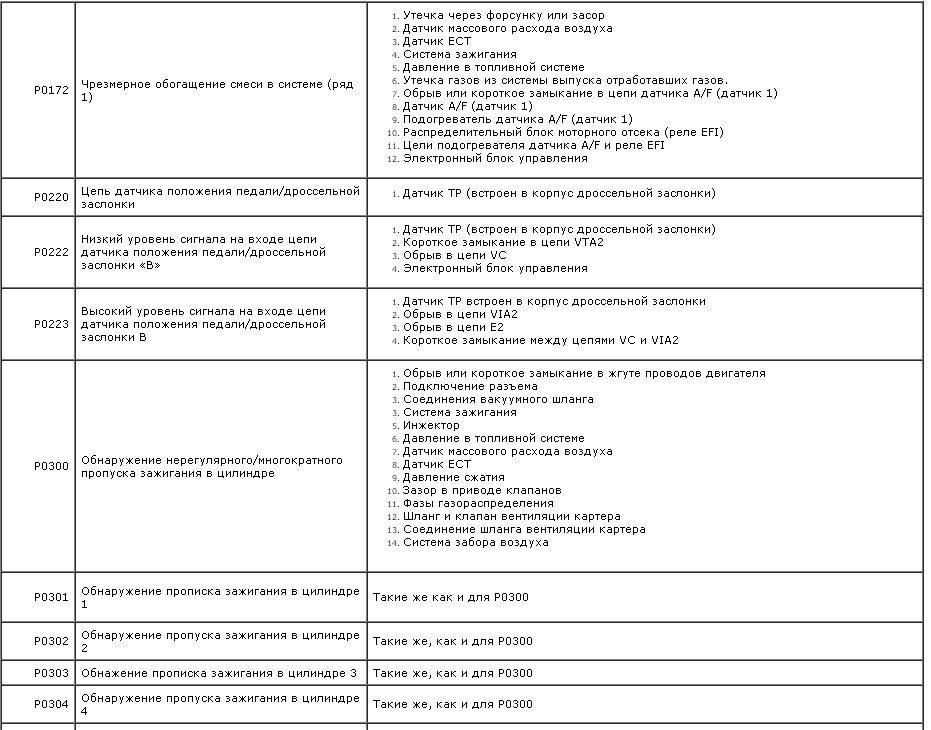
Коды ошибок двигателя, возможная неисправность
После выполнения диагностических работ необходимо получить максимально возможную информацию о предполагаемой неисправности. Например, компьютерная диагностика показала ошибку P0032. Согласно приведенной ниже таблице она расшифровывается, как превышение максимального тока в цепи подогревателя первого лямбда-зонда. Не следует немедленно покупать новый датчик (в Камри он стоит более 3000 рублей).
Прежде всего, необходимо проверить электропроводку, которая ведет к нему. В Camry, как и в большинстве новых бензиновых автомобилей, присутствует два кислородных датчика (лямбда-зонда) – один до, другой после катализатора. Они подогреваемые, то есть присутствует спираль, которая подогревает датчик для выхода в рабочее состояние. Возможно, датчик неисправный, спираль закорочена, и диагностика показывает ошибку 0032. Но в большинстве случаев причиной этой неисправности является короткое замыкание проводки, ведущей к лябда-зонду. Она проложена в непосредственной близости от выпускного коллектора, который нагревается до температуры более 300 градусов Цельсия. Если полихлорвиниловая изоляция разрушена, проводка может коротить на массу автомобиля. В этом случае возможно появление ошибки P0032. Возможно на момент проведения диагностики ошибка пропадет, но потом в движении проявится вновь, поэтому лучше проверить качество изоляции.
Ниже приведены расшифровка основных кодов ошибок по двигателю, их возможные причины.








Коды ошибок системы безопасности SRS в автомобилях «Тойота»
Считывание кодов осуществляется с включенным зажиганием по количеству загораний лампы SRS. В разъеме DLC1 надо замкнуть контакты TC и E1, а в DLC3 перемычка устанавливается между выводами TC и CG.

Стирать коды ошибок необходимо при выключении зажигании. В случае сохранения кодов в памяти выполните следующие действия:
- подключите два провода к контактам TC и AB;
- включите зажигание и подождите минимум 6 секунд;
- по очереди, 1 раз в секунду, замыкайте на массу контакты TC и AB с интервалом между замыканием не более 0,2 сек;
- после третьего замыкания лампочка TC на панели должен быстро замигать, что является подтверждением удаления кодов из памяти.
Неисправности:
- 11/12/13/14 – замыкание или разрыв в цепи воспламенителя подушки безопасности водителя;
- 15/16 – замыкание либо разрыв в цепи передних датчиков SRS;
- 31 – выход из строя блока управления системой безопасности;
- 51/52/53/51 – замыкание или разрыв цепи воспламенителя пассажирской подушки безопасности;
- 61/62/63/64 – замыкание или разрыв цепи преднатяжителя водительского ремня безопасности;
- 71/72/73/74 – замыкание или разрыв цепи преднатяжителя пассажирского ремня безопасности.
Что это такое
P0420 — код ошибки, имеющий следующую расшифровку: «снижение эффективности катализатора ниже допустимого уровня» (на английском — Catalyst System Efficiency Below Threshold).
Появление сбоя свидетельствует о том, что нейтрализатор не справляется с возложенными на него функциями.
При наличии на авто двух каталитических устройств ошибка может иметь иное цифровое обозначение — p0430.
В зависимости от ситуации необходима замена катализатора или второй лямбды. В наиболее простых случаях достаточным будет заправить авто качественным топливом.
Многие автовладельцы снимают катализатор и убирают ошибку, но через некоторое время она снова появляется. Единственный путь для устранения проблемы состоит в установке обманки (замены) устройства. В таком случае ЭБУ диагностирует наличие катализатора и не видит причин для появления ошибки.
На всех этих моментах мы подробно остановимся ниже.
На каких автомобилях чаще всего срабатывает
Мастера СТО утверждают, что факт появления p0420 не зависит от марки или модели машины. Ошибка может возникать на любом транспортном средстве, оборудованном катализатором и ЭБУ, контролирующем его работу.
Если приводить статистику, подобные сбои чаще всего проявляются на следующих марках и моделях авто:
- Форд — Фокус, Мондео.
- Ниссан — Икс Трейл, Кашкай.
- Тойота.
- Рено — Логан, Дастер.
- Киа — Сид, Рио.
- Хендай — Солярис.
- Шевроле.
- Шкода.
- УАЗ и другие.
Владельцы всех автомобилей с катализатором должны быть готовы к появлению p0420 и знать, какие шаги предпринимать для исправления ситуации. Про на этим моментах мы остановимся дальше.
Тойота камри ACV40 ошибка p0351 : 7 комментариев
- Гера24 августа, 2019 в 8:36 дп
электронный блок управления
Тойота камри ACV40 ошибка p0351 если не катушка то ЭБУ
а как вы решили эту проблему Тойота камри ACV40 ошибка p0351
У меня Камри 35. Американка. 2005 г.в. заводится и через пару секунд глохнет. Постоянно выходят ошибки Р0351. Р0352. Р0353. Р0354. И эти ошибки не уходят . Поменяли катушки брали с магазина. Ошибки не уходят. Затем сняли катушки с исправной Камри всё равно также ошибки. Распустили всю косу до ЭБУ провода целые и на сопротивление и на замыкание проверили всё Ок. А авто так и не запускается. Автот когда мы подаём сигнал прямоугольной формы через генератор сигналов на 2 ножку катушки зажигания авто работает чётко. Вопрос где зарыта собака.
У меня точно такая же проблема и точно такая же ситуация, проводка целая , катушка менялась, свечи меняли а ошибка все также стоит, если есть возможность ответьте пожалуйста как вы решили эту проблему
Ломает провода. В месте скрутки провода igf в косе катушек зажигания.
- alex Автор записи 23 июня, 2020 в 4:59 дп
Да, только в этом случае отломился провод массы
Коды ошибок Toyota
Коды ошибок Тойота являются зашифрованной информацией об имеющихся сбоях в работе двигателя и его систем или АКПП. Современные модели оборудованы электронными модулями управления, располагающими системами самодиагностики. Они призваны оптимизировать работу оборудования, снижая расход топлива и минимизируя токсичность выхлопных газов.
Считать и расшифровать ошибки Тойота можно в специализированном автосервисе «Тойота Дубровка». Наши диагносты прошли аттестацию у производителя и работают по его регламенту, они проведут соответствующие мероприятия и предоставят всю необходимую автовладельцу информацию в распечатке.
Коды ошибок Toyota: как происходит считывание?
Для того, чтобы электронный модуль управления Toyota имел возможность получать необходимые данные от систем, контролируемых им, все они оснащаются датчиками.
При выявлении отклонений от нормы, установленной производителем в показаниях датчиков, запускается аварийный режим, сопровождающийся соответствующей индикацией на приборной панели.
В случае, если нормальные параметры функционирования датчика восстанавливаются (после ремонта, замены или самостоятельно), возвращается и стандартный режим работы и двигатель или АКПП. В то же время данные о том, что были выявлены неисправности фиксируются в базе данных в виде кодов Toyota и остаются там.
Последнее нередко является причиной возникновения серьёзных поломок, устранение последствий которых требует существенных капиталовложений. В этом плане система кодов ошибок OBD2 Toyota очень удобна. Она фиксирует даже случайные сбои в работе агрегатов и выдаёт информацию о них во время диагностики.
Благодаря этому, владелец имеет возможность предпринять меры, исключающие серьёзные неисправности или поломки автомобиля в дороге.
Разъёмы для считывания ошибок OBD2 Toyota
Диагностические разъёмыИх особенности
| «DLC-1» | Разъём для считывания ошибок Toyota спрятан в пластиковый корпус с надписью «Diagnostic», расположенный слева по ходу машины. Вывод самодиагностики производится через индикатор «Check Engine» на приборной панели. Если авто оборудовано дизельным двигателем, то в процессе самодиагностики используется индикатор контроля накала свечей.Самодиагностика АКПП может выводиться через индикацию «O/D», «Power» «A/T Check», систем активной или пассивной безопасности — через индикацию «ABS», «SRS». |
| «DLC-2» | Данный разъём для считывания кодов неисправностей Toyota находится под нижней частью приборной панели со стороны водителя. Его конфигурация несколько иная, позволяющая подключать диагностическое оборудование, но и вывод «DLC-1» она тоже предусматривает. Данный разъём даёт возможность проводить диагностику машины на ходу. |
В случае с авто японского бренда, используют два типа кодов неисправностей Toyota:
Тип кода ToyotaКол-во знаковШирина импульса (сек.)Пауза между импульсами(сек.)Пауза между кодами(сек.)
| 09 | Двухзначный | 0,5 | 0,5 | 2,5 |
| 10 | Однозначный | 0,5 | 0,5 | 2,5 |
Признаки неисправности каталитического нейтрализатора
Любой механизм или устройство, какими бы прочными они ни были, рано или поздно выходят из строя, особенно если им приходится работать в критических условиях. Каталитический нейтрализатор, отвечающий за очистку выпускных газов от загрязняющих веществ, работает при достаточно высоких температурах. Однако поврежденный или засоренный нейтрализатор оказывает негативное влияние на эксплуатационные характеристики автомобиля, которые бдительный водитель не может не заметить.
Потеря мощности
Для человека, который не особо хорошо знаком с устройством автомобиля, самым главным признаком является потеря мощности двигателя во время движения вверх по склону. При этом появляется четкое ощущение, что двигатель работает под высокой нагрузкой. Даже начинающий водитель способен распознать такой признак засоренного каталитического нейтрализатора, как увеличение расхода топлива.
Повреждение вследствие термоудара
Осмотрите внешнюю поверхность каталитического нейтрализатора на предмет видимых повреждений. Обесцвечивание и/или деформация корпуса нейтрализатора – это явные признаки теплового разрушения субстрата в результате перегрева. Такие повреждения чаще всего объясняются слишком богатой топливной смесью, подаваемой в двигатель, в результате чего в каталитический нейтрализатор поступает несгоревшее топливо. Это топливо догорает в самом нейтрализаторе, попутно расплавляя его субстрат, что приводит к блокированию работы компонента.
Засорения препятствуют прохождению газов через каталитический нейтрализатор, провоцируя нагнетание противодавления в выпускной системе, что отрицательно сказывается на эффективности работы двигателя. Термоудар также возможен при прямом контакте горячего каталитического нейтрализатора со льдом или холодной водой, поскольку при этом может потрескаться внутренний субстрат, что, опять же, приводит к засорению и повышению температуры в нейтрализаторе и в конечном итоге к снижению мощности двигателя.
Кислородный датчик – это устройство, которое помогает блоку управления оценивать работу двигателя. Он установлен в выпускном коллекторе и предназначен для определения состава топливной смеси, то есть не слишком ли она богатая или бедная. Датчик подает на блок управления соответствующий сигнал, после чего блок управления регулирует состав подаваемой в двигатель воздушно-топливной смеси (идеальное соотношение воздуха и бензина – 14,7:1). Неисправный кислородный датчик может передавать на блок управления некорректные данные, в результате чего пострадает каталитический нейтрализатор.
Дребезжащий звук вследствие механического повреждения
Иногда камни и разный мусор, отлетающие от дороги, могут ударить по каталитическому нейтрализатору и повредить его внутренние элементы. Такие повреждения идентифицируются по вмятинам снаружи нейтрализатора. Если керамическая часть каталитического нейтрализатора треснула или полностью разломалась, появляется дребезжащий звук. Со временем это приведет к блокированию работы каталитического нейтрализатора и нагнетанию противодавления в выпускной системе.
Запах газов
Если выходящие из выхлопной трубы отработавшие газы имеют сернистый запах, напоминающий запах тухлых яиц, это однозначно говорит о засорении каталитического нейтрализатора. Когда кто-то сомневается, что снижение мощности двигателя связано с засорением нейтрализатора, ему достаточно принюхаться к выхлопным газам. Причина этой проблемы заключается в несоответствующем составе воздушно-топливной смеси. К сожалению, этот признак проявляется в последнюю очередь. Обнаружение проблемы на таком позднем этапе, как правило, означает невозможность восстановления каталитического нейтрализатора. Владельцу автомобиля, вероятнее всего, придется раскошелиться на новый нейтрализатор.
Ошибки иммобилайзера
Самой распространённой ошибкой является «Engine Immobiliser System», её код – b2799. Она может возникнуть после замены блока управления ЭБУ, а также при попадании влаги на контактные разъёмы. Первые признаки проявления – включение зажигания при нажатии на кнопку «Start» и отсутствие прокрутки двигателя. Питание на реле стартера не подаётся.
Часто ошибка возникает после ДТП и проведённого кузовного ремонта. Если работы выполнены с нарушением технологии, геометрия передней части восстановлена неправильно, то на щитке приборов начинает моргать лампа «Security». После установки ключа в замок зажигания, а также при запуске двигателя индикация гаснет. Такая ошибка имеет код b2799.
Обычно, для устранения демонтируется корпус отопителя и снимается электронный блок Immo. Выполняется его диагностика, ошибки датчиков удара, сохранившиеся в памяти после удара, обнуляются. Далее блок устанавливается на место.
Также ошибка может возникнуть в процессе смены торпедо. При малейших воздействиях на датчики ударов сразу появляется индикация неисправности подушек безопасности. Если усилие значительное, возможно ложное срабатывание. Именно поэтому все работы, связанные с заменой элементов экстерьера, торпедо, декоративных накладок и панелей центральной части рекомендуется выполнять только в сертифицированных сервисных центрах.
И не забывайте подписываться на наш Телеграм канал для получения новостей





























